Pure Instrumental Music & Independent record label in JAPAN TOP;アセトアニリドの合成実験 実験題目 アニリンからアセトアニリドの合成 目的 アニリンからアセトアニリドを合成する 方法 1.水340mlの入った1Lポリビーカー内に3M塩酸50ml、アニリン17.01gを加えた。1ã 㠢㠻ã ã ¢ã ã ªã ã ã ã ã å ã ã ã 㠨㠧pã ã ã 㠢㠻ã ã ¢ã ã ªã ã ç æ ã ã 2ã å æ°´å 解㠧pã ã ã
放課後化学講義室 今日の分子no 62 ニトロベンゼン
アセトアニリド ニトロ化 少量の水
アセトアニリド ニトロ化 少量の水-医療工学科の化学講義25ベンゼン環を含む有機化合物 Life 有機反応を俯瞰する ー芳香族求電子置換反応 その 2 Chem 2 ニトロアセトアニリド 552 32 9 Wo05 0905号 微生物及び微生物由来酵素によるアニリン誘導体 質問itmedia P ニトロアセトアニリドのさらなる4.アニリンより強い塩基,例えば水酸化ナトリウムの水溶液を加えると,アニリンが遊離する。 5.赤紫色 6.アニリンブラック 7.アニリンに酢酸を加えて熱し縮合させるか,無水酢酸を使ってアセチル化するとアセトアニリドが合成できる。



Sandmeyer反応はアニリンを起点とする官能基導入法 とらおの有機化学
作成日 13/2/15 1.化学品及び会社情報 化学品の名称 アセトアニリド (Acetanilide) 製品コード 24A6011 会社名 株式会社 住所下記カテゴリー内の "50 アセトアニリド ニトロ化"に関連する他の関連記事を探す #アセトアニリド ニトロ化 #アセトアニリド ニトロ化 オルト #アセトアニリド ニトロ化 温度 #アセトアニリド ニトロ化 硝酸 #アセトアニリド ニトロ化 酢酸アセトアニリド (acetanilide) は、アミドの一種で、フレーク状の外見を持つ無色の固体。 Nフェニルアセトアミド、アセタニルなどとも呼ばれる。アンチヘブリンという名称でかつて解熱鎮痛剤として用いられていた有機化合物。 合成 アセトアニリドは、アニリンを無水酢酸と反応させて
4'ニトロアセトアニリド 4'Nitroacetanilide for synthesis CAS , chemical formula CH₃CONHC₆H₄4(NO₂) Find MSDS or SDS, a COA, data sheets and more information下記カテゴリー内の "50 アセトアニリド ニトロ化"に関連する他の関連記事を探す #アセトアニリド ニトロ化 #アセトアニリド ニトロ化 オルト #アセトアニリド ニトロ化 温度 #アセトアニリド ニトロ化 硝酸 #アセトアニリド ニトロ化 酢酸実験実施日 1999年6月17日(木) 曇り 気温:28℃ 湿度:% 気圧:1006hPa 実験時間:13:00~17:00 実験テーマ;
反応後室温まで冷却し、水(0 mL)で希釈し、3 N HClでpH 55に酸性化し、室温で数時間放置した。 生じた固体をろ過して目的物を93%で得た。 ニトリルを塩基性条件下で過酸化水素を作用させると酸化的にアミド化されます。粗アセトアニリドを生成する際、少量の水で洗浄する理由を教えて下さい。 大学化学です。 アセトアニリドからpニトロアセトアニリドを合成する反応における収率の理想の値ってどのくらいですか?合成 下に 4ニトロアニリンをアニリンから得る合成経路を示す。 鍵となる段階はアニリン (1) からアセチル保護したアセトアニリド (2) のアミノ基のパラ位を、混酸によりニトロ化する芳香族求核置換反応である。このとき少量生じる副生物の 2ニトロアセトアニリド (3a) を精製で除去し 4



ニトロ化反応の条件とやり方 ネットdeカガク


1
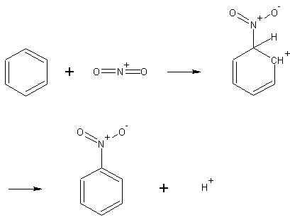
3有機化合物の合成 311アセトアニリドの合成 実験実施日 (水) 実験の目的と主旨 アセトアニリドの合成を行うことでアミン誘導体の代表例であるアセチル体の合成法を習得する.また,得られた化合物の精製法として再結晶法と同定法を学ぶとともに,解熱剤であるアセトアニリドのIDEA / BRAINSOUT (CD) de sidere / BRAINSOUT (CD) Live&Info;ベンゼンからアセトアニリドを合成するため、まずベンゼンからニトロベンゼンを作り、どういった反応がおきているのか理解する。 *ベンゼンは硝酸と硫酸によりニトロ化される。 このとき硫酸はニトロニウムイオンの生成を促進させる。 hono22h2so4 ⇔ no2 h3o 2hso4− 操作?~?より、最初の



ニトロベンゼンからアニリンを合成する語呂合わせなど 17h29大学入学共通テスト試行調査第1回第3問 問4 入試化学を語呂合わせで解く大学入試ゴロ化学


有機反応機構 芳香族求電子置換反応
ニトロアセトアニリドの水への溶解性 oニトロアセトアニリド:水に可溶;熱水に易溶。 pニトロアセトアニリド:水に難溶(01 mg/mL, ℃)、熱水に可溶。 (17) この段階で2 g程度のニトロアセトアニリドが得られるはずである。アセトアニリド (acetanilide) は、アミドの一種で、フレーク状の外見を持つ無色の固体。 Nフェニルアセトアミド、アセタニルなどとも呼ばれる。アンチヘブリンという名称でかつて解熱鎮痛剤として用いられていた有機化合物。 合成 アセトアニリドは、アニリンを無水酢酸と反応させて有機化学実験: アセトアニリドの合成 (アニリンのアセチル化) 1 実験操作 (1) 三角フラスコ(100 mL)に濃塩酸 mL (0024 mol)と水50 mLを入れ、攪拌させながら、 これにアニリン210 g (0023 mol)を少しずつ加えて溶解させる。



Sandmeyer反応はアニリンを起点とする官能基導入法 とらおの有機化学



実験化学 52
4'ニトロアセトアニリド 4'Nitroacetanilide for synthesis CAS , chemical formula CH₃CONHC₆H₄4(NO₂) Find MSDS or SDS, a COA, data sheets and more informationこの実験では、アセトアニリドのニトロ化反応を行い、続いて、ニトロアセトアニリドの加水 分解により pニトロアニリンを合成し、薄層クロマトグラフィー (TLC) で oニ トロアニリンが副生したことを確認する。 実験手順11 流れとしては下のような感じ。



ベンゼンからp ヒドロキシアゾベンゼンを作る みくあす令和ラボ



A Novel Method For The Pentosan Analysis Present In Jute Biomass And Its Conversion Into Sugar Monomers Using Acidic Ionic Liquid Protocol Translated To Japanese


窒素を含む芳香族化合物


1



有機反応を俯瞰する ー芳香族求電子置換反応 その 2 Chem Station ケムステ


化学有機アセトアニリドに希硫酸を加えると加水分解して酢酸とア Yahoo 知恵袋


P ニトロアニリンの合成実験 P ニトロアセトアニリドからp ニトロア Yahoo 知恵袋



ニトロ化反応の条件とやり方 ネットdeカガク



Wo05 0905号 微生物及び微生物由来酵素によるアニリン誘導体のアセチル化 Astamuse


放課後化学講義室 今日の分子no 62 ニトロベンゼン



濃硫酸が脱水剤として使われる理由が構造式から明らかに 化学受験テクニック塾


アセトアニリドをニトロ化する際 固体のアセトアニリドに濃硫酸 Yahoo 知恵袋


有機反応機構 芳香族求電子置換反応


アニリンからアセトアニリドの反応機構とアセトアニリドからp ニ Yahoo 知恵袋


有機反応機構 芳香族求電子置換反応


アセトアニリドをニトロ化する際 固体のアセトアニリドに濃硫酸 Yahoo 知恵袋


ニトロアニリン 4



アニリンのニトロ化 アニリンをニトロ化する際 直接ニトロ化するので 化学 教えて Goo



第15回おうちラボで実験してみた 有機合成でうんこの匂いを作ってみた ニトロベンゼンの合成編 みくあす令和ラボ


ニトロアニリン 2



メルカリ 基礎化学実験法18 参考書 600 中古や未使用のフリマ



アニリンのニトロ化の生成過程 反応中間体の共鳴式 アニリンをニトロ 化学 教えて Goo



ニトロ化反応の条件とやり方 ネットdeカガク



P ニトロアセトアニリドのさらなるニトロ化 大学の学生実験においてア 化学 教えて Goo


公表特許公報


有機反応機構 芳香族求電子置換反応



ニトロ化反応の条件とやり方 ネットdeカガク


ニトロアニリン 4


アニリンからアセトアニリドの反応機構とアセトアニリドからp ニ Yahoo 知恵袋



答え14グラムです お願いします Clear



有機反応を俯瞰する ー芳香族求電子置換反応 その 2 Chem Station ケムステ



ニトロ化反応の条件とやり方 ネットdeカガク



12 パラニトロアニリン赤の合成と染色


有機反応機構 芳香族求電子置換反応


ニトロアニリン 4


窒素を含む芳香族化合物



アセトアニリドとは コトバンク


ニトロアニリン 2



濃硫酸が脱水剤として使われる理由が構造式から明らかに 化学受験テクニック塾


P ニトロアセトアニリドからp ニトロアニリンへの反応機構 Okwave


ニトロアニリン 2


窒素を含む芳香族化合物



ニトロベンゼンからアニリンを合成する語呂合わせなど 17h29大学入学共通テスト試行調査第1回第3問 問4 入試化学を語呂合わせで解く大学入試ゴロ化学



ベストセレクション アセトアニリド 結晶 人気のある画像を投稿する


公表特許公報



4 ニトロアニリン Wikiwand



ニトロ化反応の条件とやり方 ネットdeカガク


有機反応機構 芳香族求電子置換反応



4 ニトロアニリン Wikiwand



有機反応を俯瞰する ー芳香族求電子置換反応 その 2 Chem Station ケムステ


ここに フェノールのニトロ化はオルト パラ配向性であると書かれ Yahoo 知恵袋



アセトアミノフェン Wikiwand



ニトロ化合物とは コトバンク



4 ニトロアニリン Wikiwand


濃硝酸と濃硫酸の混合物と反応させてニトロ化を行ったときのニトロ化反応が最 Yahoo 知恵袋
0 件のコメント:
コメントを投稿